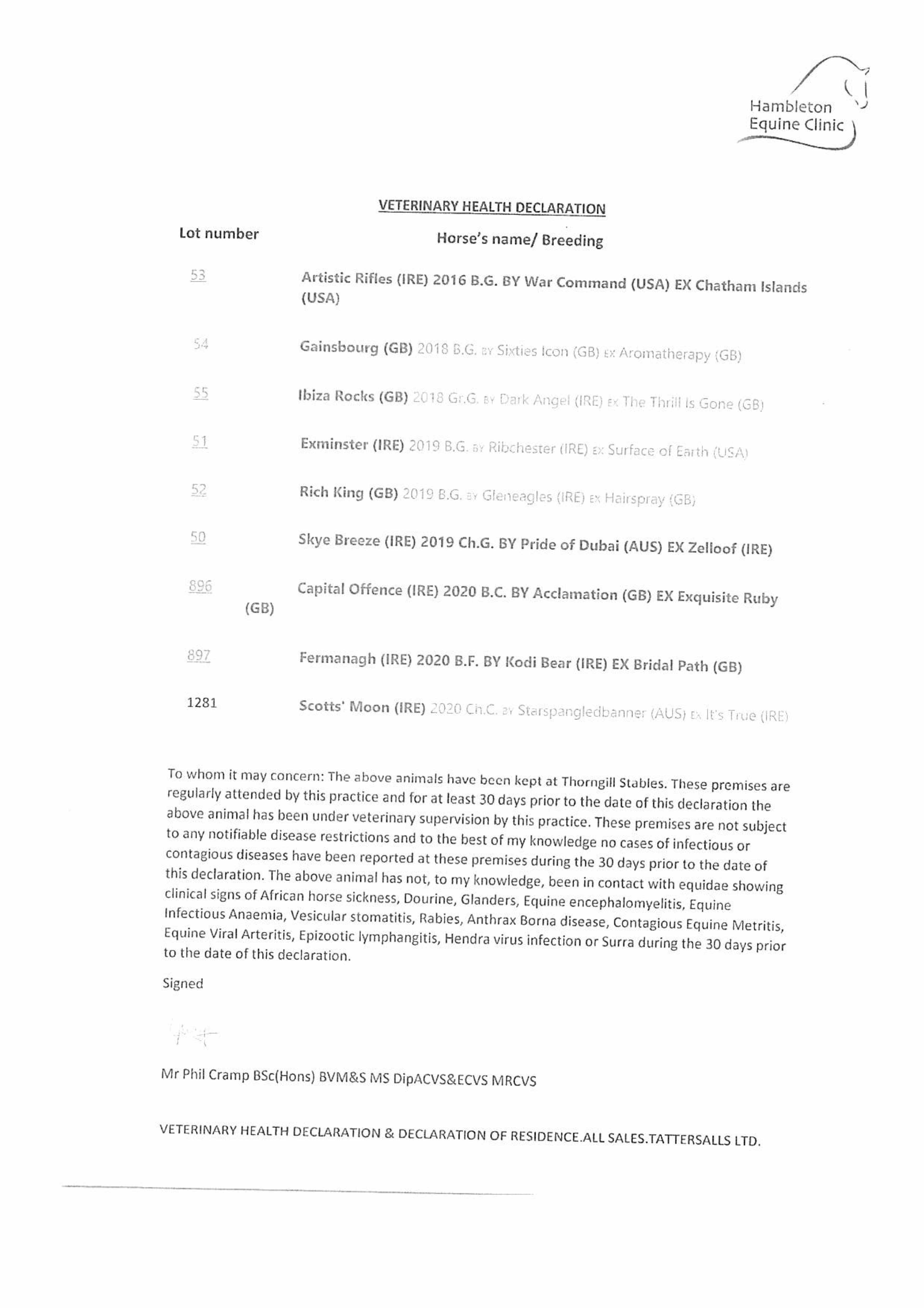
Lot 52
Rich King (GB) B.G.

Purchaser:
Senaitan Al-Gheraiban
Price:
30,000 gns

Info

Consignor: Barton Sales

Documentation

Flu vaccinations approved by Weatherbys
EIA Certificate
Health Certificate

Media

Other Sales for this Lot

October Yearling Sale, Book 2 2020 lot 833, Taroka Stud, Ireland=>James & Edward Bethell 45,000 gns 

December Foal Sale 2019 lot 1051, Norman Court Stud=>Meridian International 57,000 gns 

Sales for Half Brothers/Sisters

December Mare Sale 2025 lot 1867 Saidha (GB) (F. by Circus Maximus (IRE)), Selwood Bloodstock=>WP Equine 1,000 gns 

December Foal Sale 2022 lot 1114 F. by Circus Maximus (IRE) 2022, Norman Court Stud=>Imran Butt 18,000 gns 

September Yearling Sale 2021 lot 59 C. by Oasis Dream (GB) 2020, Evergreen Stud=>Damian English £10,000

December Mare Sale 2020 lot 1770 Modern Millie (GB) (F. by Sixties Icon (GB)), Kimpton Down Stables (R. Beckett)=>Vendor 100,000 gns 

December Foal Sale 2020 lot 1009 C. by Oasis Dream (GB) 2020, Norman Court Stud=>Michael Conaghan 20,000 gns 

December Mare Sale 2019 lot 2149 Modern Millie (GB) (F. by Sixties Icon (GB)), West Ilsley Stables (M. Channon)=>Alex Elliott Agent 60,000 gns 

October Yearling Sale, Book 2 2019 lot 1018 C. by Kodiac (GB) 2018, Tally-Ho Stud, Ireland=>Stroud Coleman Bloodstock 220,000 gns 

December Mare Sale 2018 lot 2231 Dusty (GB) (F. by Paco Boy (IRE)), West Ilsley Stables (M. Channon)=>BBA Ireland 17,000 gns 

December Mare Sale 2018 lot 1885 Epsom Icon (GB) (M. by Sixties Icon (GB)), The Castlebridge Consignment=>Blandford Bloodstock 250,000 gns 

December Foal Sale 2018 lot 1065 C. by Kodiac (GB) 2018, Norman Court Stud=>Tally-Ho Stud 115,000 gns 

December Mare Sale 2017 lot 1572 Epsom Icon (GB) (F. by Sixties Icon (GB)), West Ilsley Stables (M. Channon)=>Blandford Bloodstock 130,000 gns 

December Yearling Sale 2014 lot 3 F. by Sixties Icon (GB) 2013, Norman Court Stud=>Lot Not Sold 9,500 gns