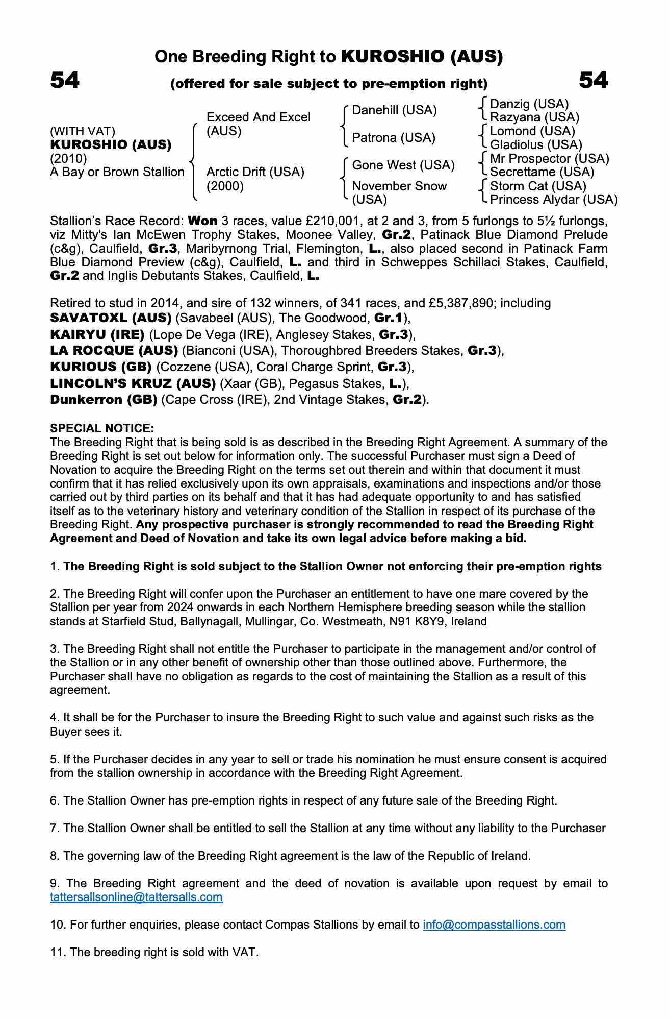
Lot 54
A Breeding Right to Kuroshio (AUS) B.H.

Purchaser:
Lot Not Sold
Price:
1,400 gns

Info

Consignor: a Gentleman

Contact: TBC  ✆ TBC  ✉ TBC

🇮🇪 Location: TBC, TBC, Ireland

Vendor's Notes: TBC

Media