Lot 667
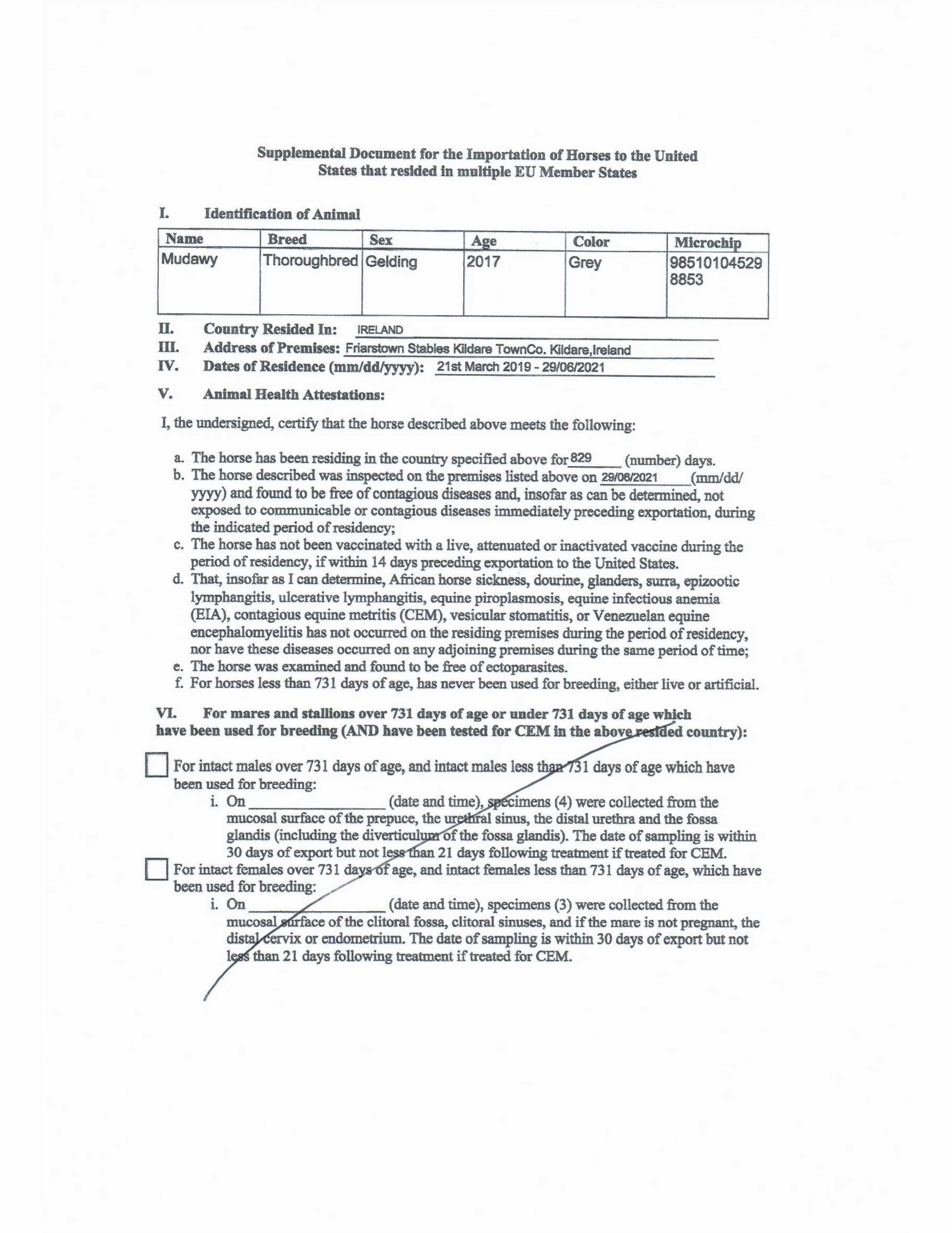
Mudawy (IRE) Gr.G.

Purchaser:
Walter Buick
Price:
34,000 gns

Info

Consignor: Shadwell Estate Company Ltd.

Catalogue Updates

Thursday 1 July:  Half-sister Zumoradda (IRE), placed 3 times at 2 and 3 years, 2021
Wednesday 23 June:  Has now been placed 5 times at 3 and 4, 2021 including 2nd 6.5f Limerick and 2nd 6.5f Handicap Listowel.

Documentation

Media

Sales for Full Brothers/Sisters

Autumn Horses In Training Sale 2022 lot 661 Mudamer (IRE) (C.), Shadwell Estate Company Ltd.=>G Harker Racing 42,000 gns 

Sales for Half Brothers/Sisters

October Yearling Sale, Book 2 2025 lot 1004 F. by Mehmas (IRE) 2024, Castledillon Stud, Ireland (Agent)=>A C Elliott, Agent 150,000 gns 

Autumn Horses In Training Sale 2023 lot 1648 Agay (IRE) (F. by Awtaad (IRE)), The Castlebridge Consignment=>Ajab AMKH Almutairi 8,500 gns 

October Yearling Sale, Book 2 2022 lot 648 F. by Awtaad (IRE) 2021, Herbertstown House Stud (Co. Kildare), Ireland=>Martyn Meade 38,000 gns 

August Sale 2021 lot 338 Zumoradda (IRE) (F. by Awtaad (IRE)), Shadwell Estate Company Ltd.=>Blandford Bloodstock 50,000 gns