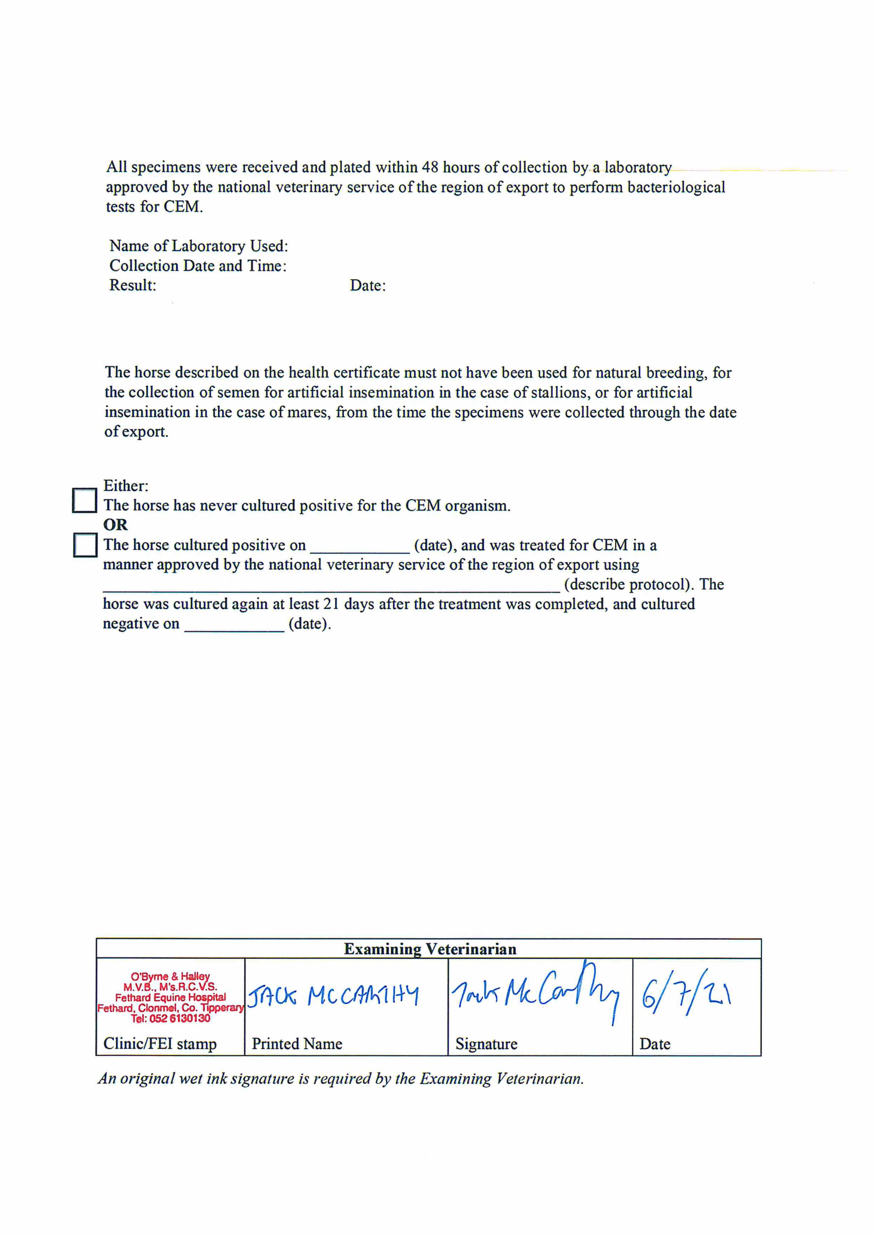
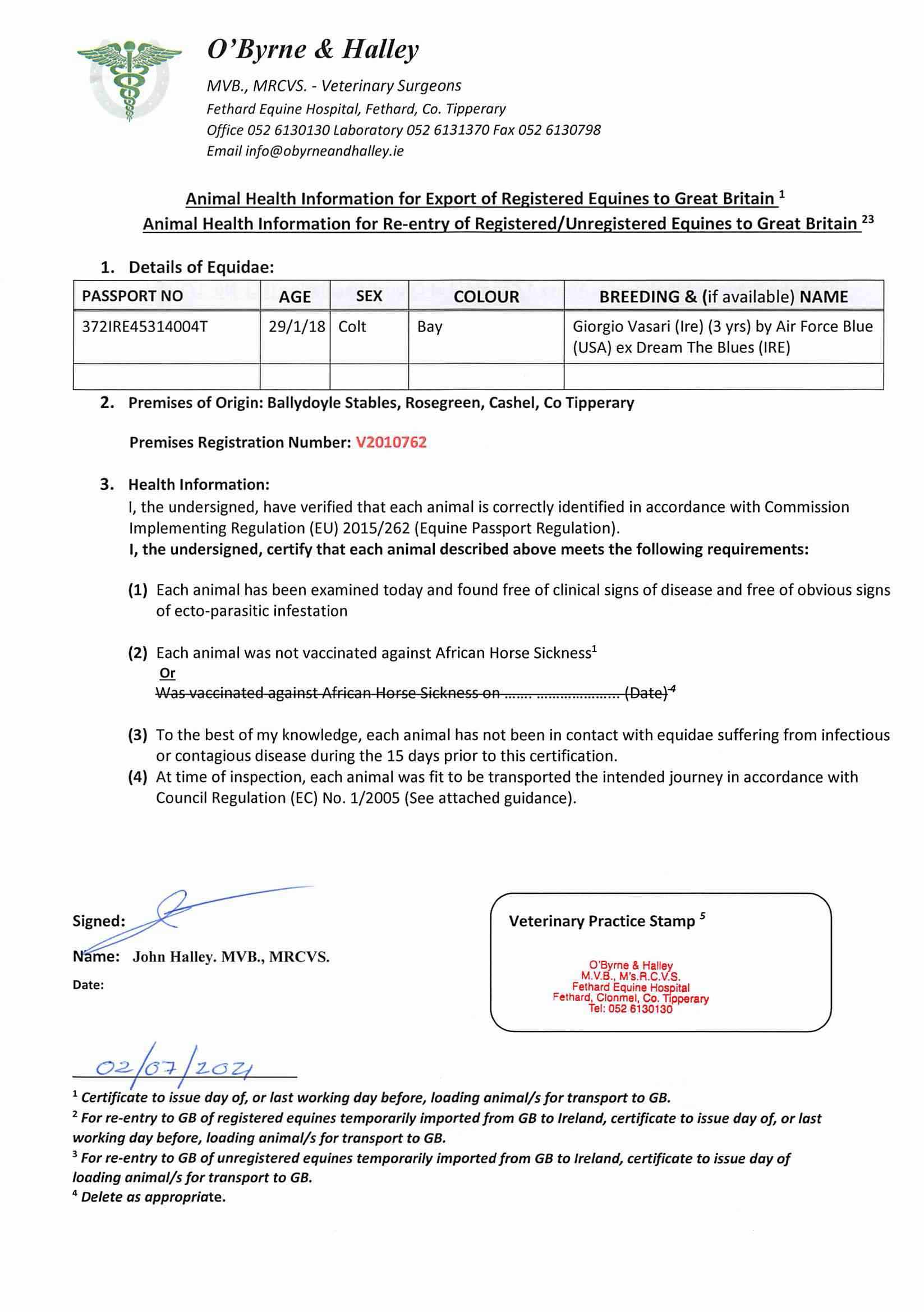
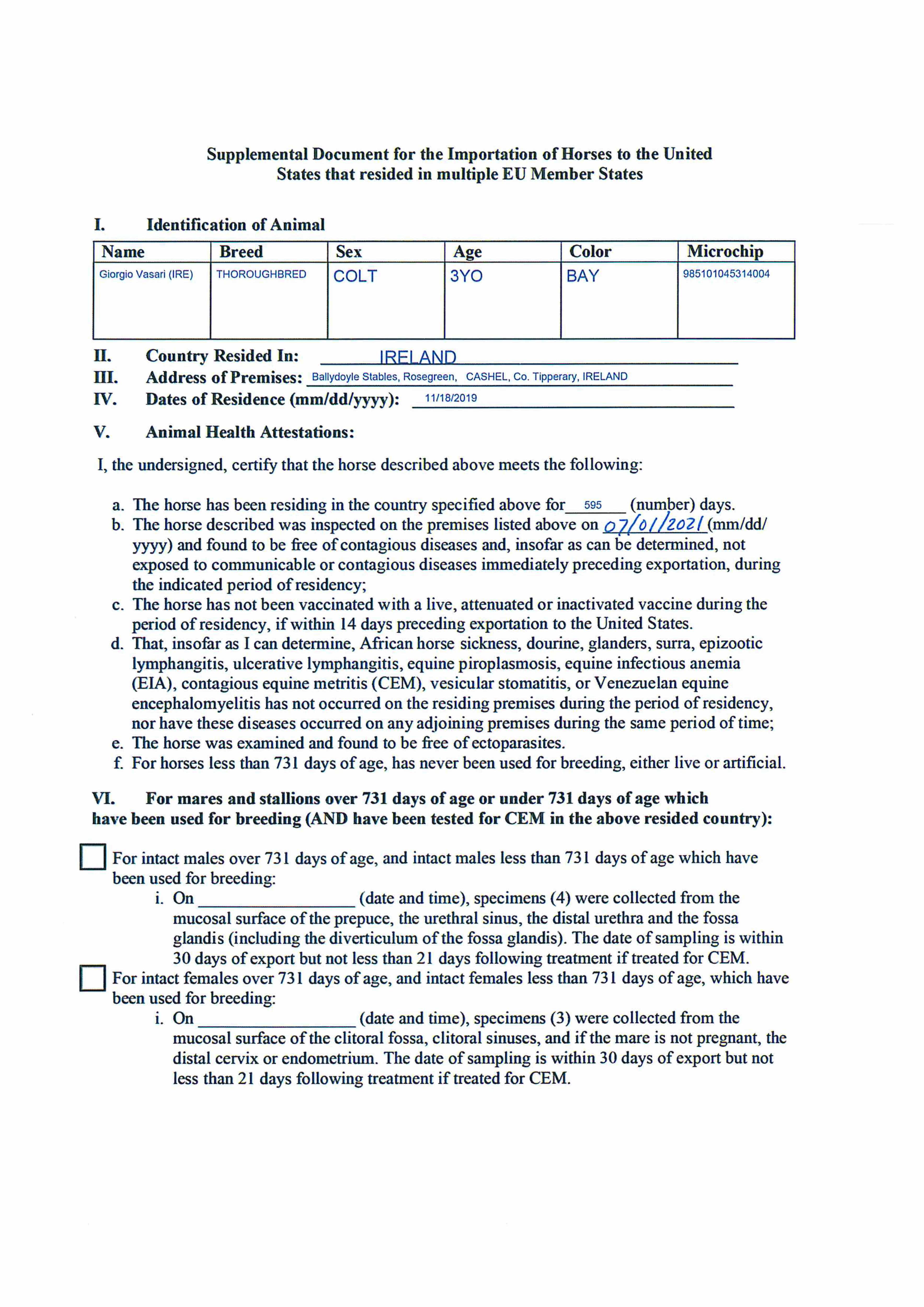
Lot 229
Giorgio Vasari (IRE) B.C.

Purchaser:
Architectural Metalworks Installations
Price:
5,000 gns

Info

Consignor: Ballydoyle Stables, Ireland (A. O'Brien)

Documentation

Media

Other Sales for this Lot

Online Sale - 23rd March 2022 lot 32, Averham Park Stables (I. Furtado)=>Lionel Laycock 1,400 gns 

Sales for Half Brothers/Sisters

Autumn Horses in Training Sale 2018 lot 205 Isle of Innisfree (USA) (C. by Scat Daddy (USA)), Ballydoyle Stables, Ireland (A. O'Brien)=>Paul D' Arcy Racing 23,000 gns 

July Sale 2017 lot 605 Oregon Point (USA) (G. by Cape Blanco (IRE)), Habton Grange Stables (T. Easterby)=>Ali Aldihani 8,000 gns 

October Yearling Sale, Book 2 2015 lot 784 C. by Cape Blanco (IRE) 2014, The Premier Consignment=>Tim Easterby 14,000 gns