Previous Lot
Lot 227 -
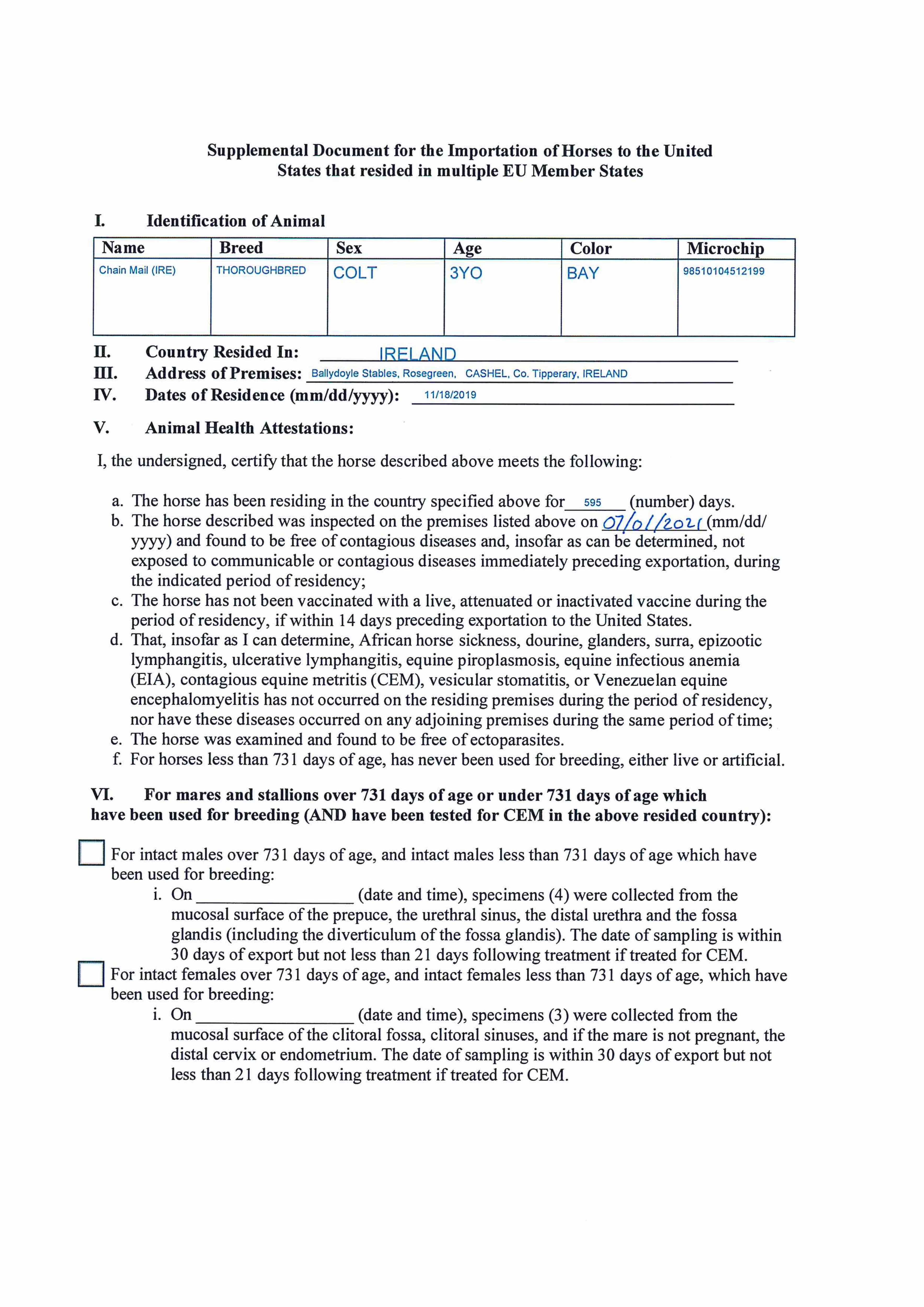
Chain Mail (IRE)
B.C.
Next Lot
Back to List
PDF
Share on X
Share on Facebook
Share by email
Copy URL
Lot 227
Chain Mail (IRE)
B.C.
Purchaser:
Oliver St Lawrence Bloodstock
Price:
9,000 gns
Info
Consignor:
Ballydoyle Stables, Ireland (A. O'Brien)
Stabling:
Coronation Stables C, Box 25
Documentation
EVA Certificate
Flu vaccinations approved by Weatherbys
EIA Certificate
Health Certificate
USDA 60 Day Declaration
Media
View video in lot gallery
View video in lot gallery
View image in lot gallery
View image in lot gallery