Lot 223
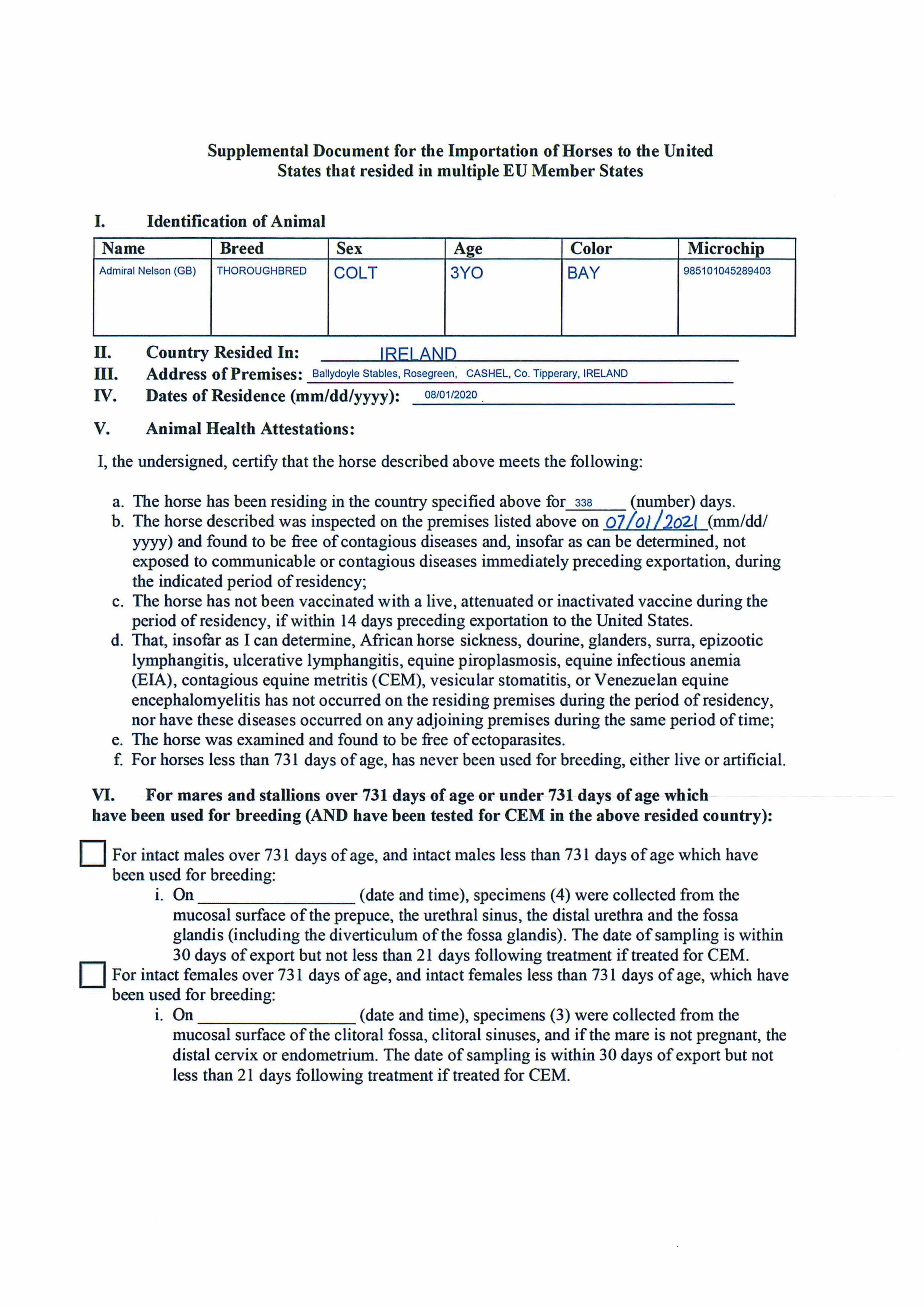
Admiral Nelson (GB) B.C.

Purchaser:
Gaelic Bloodstock
Price:
65,000 gns

Info

Consignor: Ballydoyle Stables, Ireland (A. O'Brien)

Catalogue Updates

Thursday 1 July:  Under 3rd Dam – MY BOANERGES (USA), won Grand Prairie Turf Sprint Stakes, Lone Star Park.

Documentation

Media

Other Sales for this Lot

Autumn Horses In Training Sale 2023 lot 208, The Castlebridge Consignment=>Vendor 5,000 gns 

Sales for Half Brothers/Sisters

Autumn Horses In Training Sale 2025 lot 546 Shamrock Bay (GB) (G. by Cable Bay (IRE)), Baroda Stud, Ireland=>Fehily / Crosse / Sutton Racing 210,000 gns 

October Yearling Sale, Book 2 2025 lot 1194 F. by Havana Grey (GB) 2024, Barton Stud=>Amo Racing 200,000 gns 

December Foal Sale 2023 lot 935 F. by Too Darn Hot (GB) 2023, Barton Stud=>Loop Bloodstock 60,000 gns 

October Yearling Sale, Book 2 2017 lot 837 C. by Dutch Art (GB) 2016, Hillwood Stud=>Highflyer Bloodstock 55,000 gns 

October Yearling Sale Book 1, 2016 lot 308 F. by Oasis Dream (GB) 2015, Hillwood Stud=>Stephen Hillen Bloodstock 120,000 gns 

December Foal Sale 2015 lot 1109 F. by Oasis Dream (GB) 2015, Parks Farm Stud=>Lot Not Sold 115,000 gns