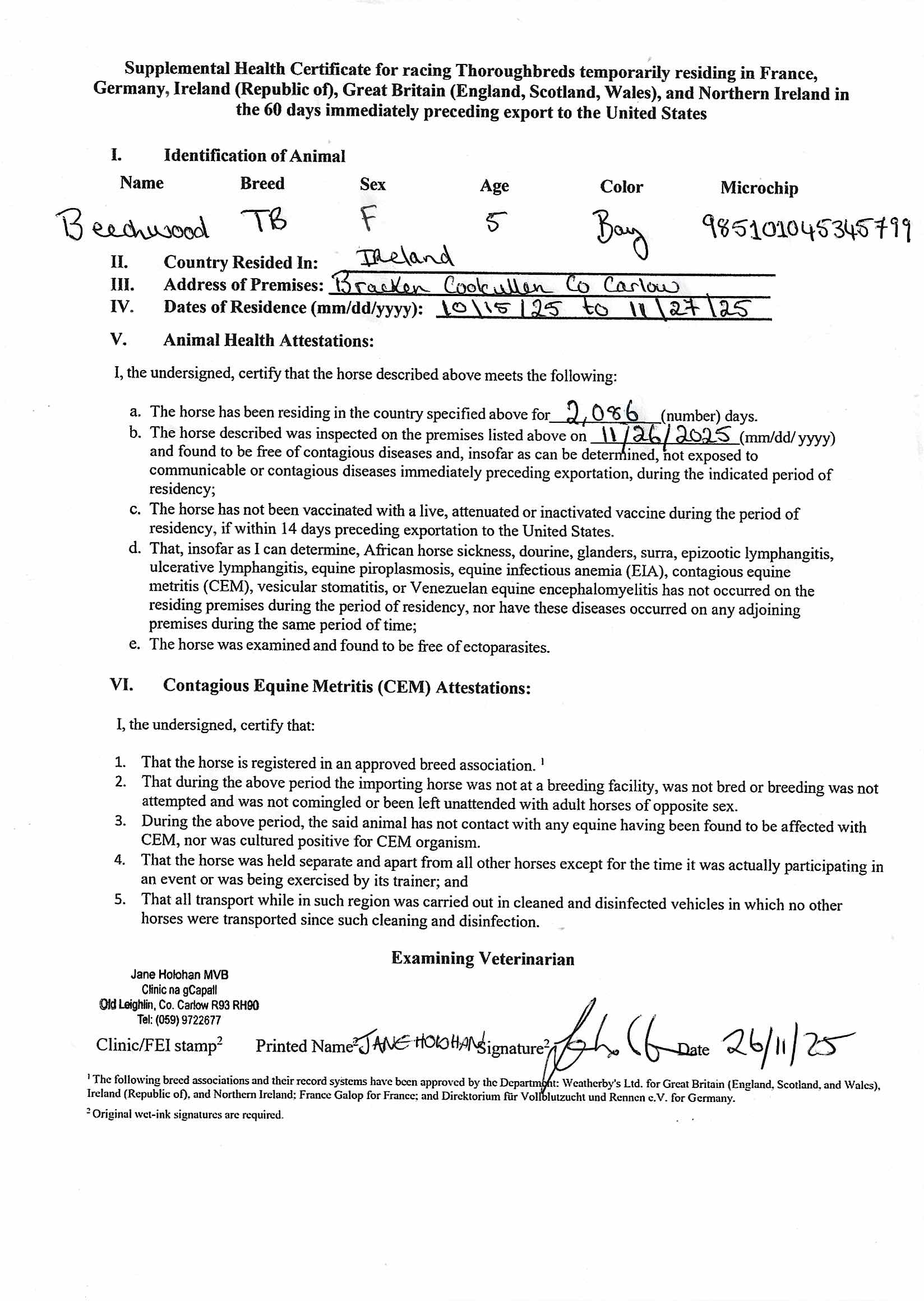
Lot 1683
Beechwood (IRE) B.M.

Purchaser:
BBA Ireland
Price:
240,000 gns

Info

Consignor: The Castlebridge Consignment

Contact: Patrick Diamond  ✆ 07745526233  ✉ patrick@castlebridge-agency.com

Catalogue Updates

Monday 27 October:  Under 3rd dam, KIBARA (GB), dam of KIKONGA (GB): ; dam of KIAMBA (IRE), placed 5 times including second in Prix Belle de Nuit, Saint-Cloud, Gr.3.

Documentation

Media

Sales for Half Brothers/Sisters

December Foal Sale 2018 lot 412 C. by Lope de Vega (IRE) 2018, Cheveley Park Stud Ltd.=>Danesrath Stables 9,000 gns