Previous Lot
Lot 1787 -
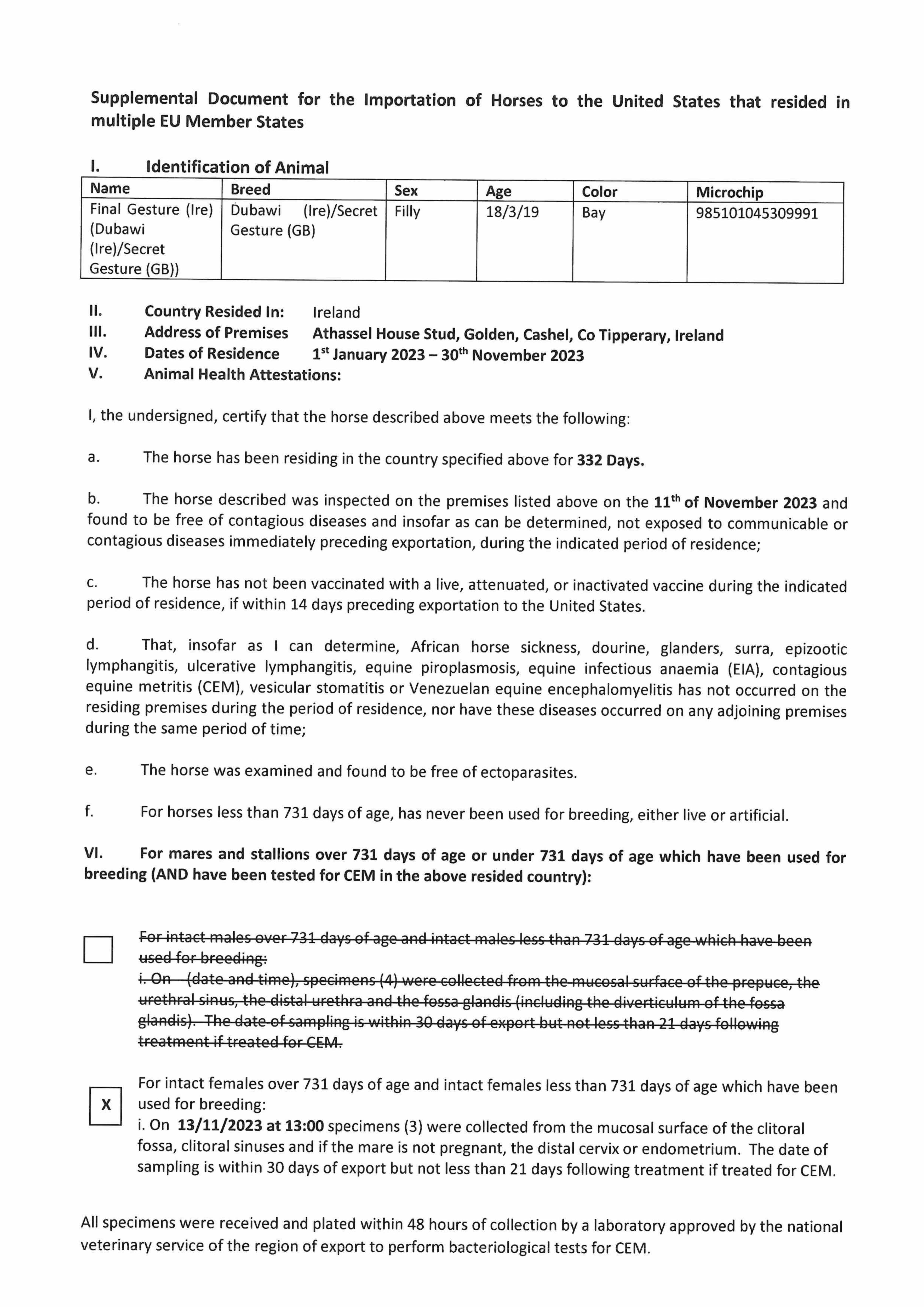
Final Gesture (IRE)
B.F.
Next Lot
Back to List
PDF
Share on X
Share on Facebook
Share by email
Copy URL
Lot 1787
Final Gesture (IRE)
B.F.
Purchaser:
B Flay Thoroughbreds
Price:
850,000 gns
Info
Consignor:
Athassel House Stud, Ireland (P. Twomey)
Catalogue Updates
Tuesday 7 November:
FINAL GESTURE (IRE)
, placed fourth in Loughbrown Stakes, Curragh,
Gr.3
.
05/11/23 – 4th of 7 in 2m Lough...
(Gr.3)
, Curragh (HY)
Documentation
EVA Certificate
CEM Certificate
Flu Vaccinations
Fillies Examination Cert
EIA Certificate
Piroplasmosis Certificate
Health Certificate
USDA 60 Day Declaration
Repository
X-rays / Endoscope (veterinary access only)
Media
View video in lot gallery
View video in lot gallery
View video in lot gallery
View video in lot gallery
View image in lot gallery
View image in lot gallery
View image in lot gallery
View image in lot gallery