Lot 1765
Shades of Blue (IRE) Br.M.

Purchaser:
Oceanic Bloodstock for White Birch Farm SC
Price:
850,000 gns

Info

Consignor: The Castlebridge Consignment

Contact: Emma Palmer   ✆ 01638561116  ✉ sales@castlebridgesales.com

Catalogue Updates

Tuesday 23 November:  Under 2nd Dam – SAHOOL (GB); grandam of ALNASEEM (GB), won H.B.P.A. Stakes, Presque Isle Downs, R.

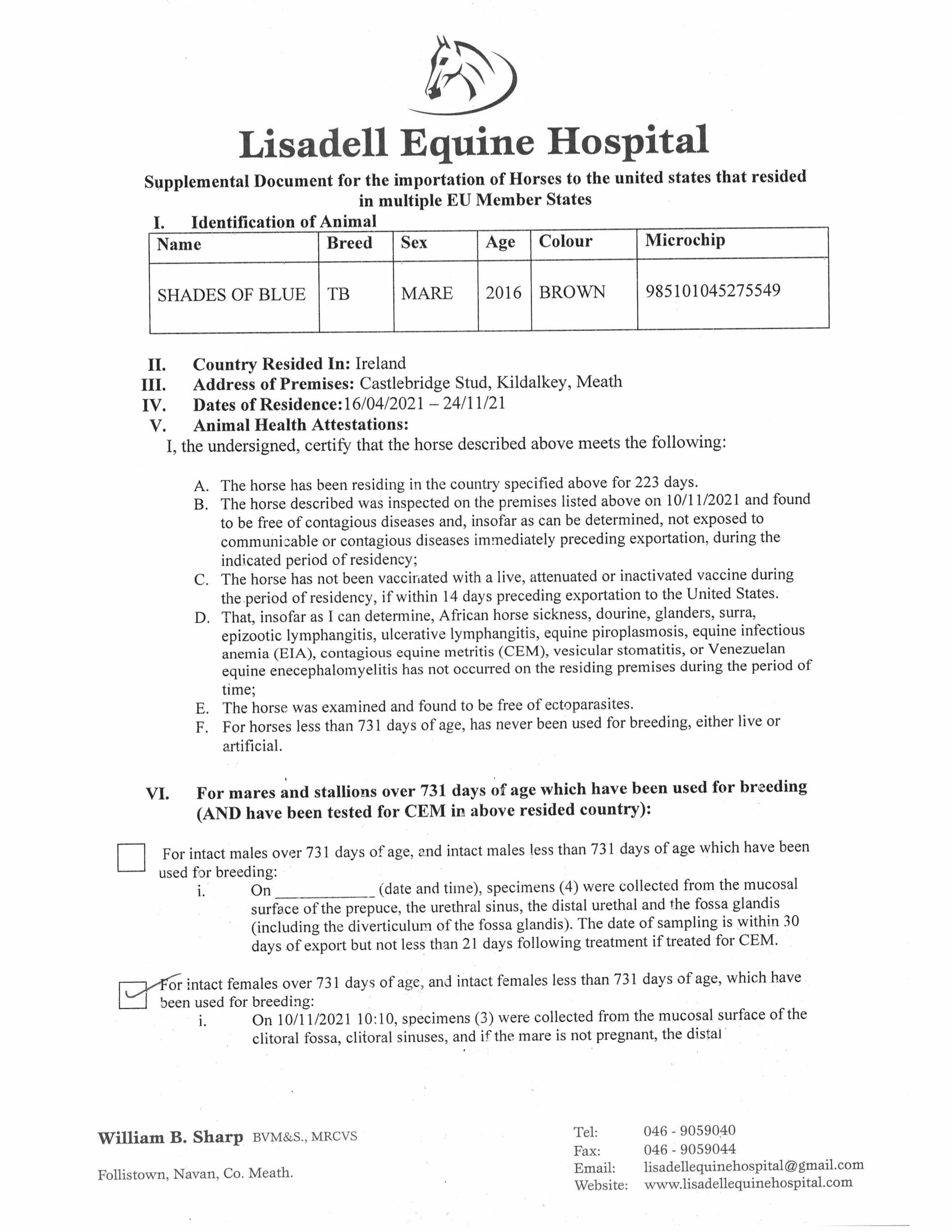
Documentation

Media

Other Sales for this Lot

December Mare Sale 2023 lot 1761, European Sales Management=>Fujiwara Farm 375,000 gns 

December Mare Sale 2020 lot 1743, Baroda Stud, Ireland=>BBA Ireland 320,000 gns 

October Yearling Sale, Book 2 2017 lot 1213, Rathbarry Stud, Ireland=>Vendor 110,000 gns 

December Foal Sale 2016 lot 861, Newtown Stud, Ireland=>RBS 105,000 gns 

Sales for Progeny

October Yearling Sale, Book 1 2023 lot 92 F. by Frankel (GB) 2022, European Sales Management=>Richard Knight / Salhia Stud 300,000 gns 

Sales for Half Brothers/Sisters

December Mare Sale 2024 lot 2068 Dressed In Blue (IRE) (F. by Invincible Spirit (IRE)), Westcourt Stables (S. Kirk)=>Fahad Aloraini 26,000 gns 

October Yearling Sale, Book 1 2021 lot 8 C. by Invincible Spirit (IRE) 2020, Newtown Stud, Ireland=>Klaravich Stables 170,000 gns 

December Foal Sale 2018 lot 866 F. by Dark Angel (IRE) 2018, Newtown Stud, Ireland=>A C Elliott, Agent 100,000 gns