Lot 1759
Assurance (IRE) B.M.

Purchaser:
Vendor
Price:
320,000 gns

Info

Consignor: The Castlebridge Consignment

Contact: Emma Palmer   ✆ 01638561116  ✉ sales@castlebridgesales.com

Catalogue Updates

Tuesday 23 November:  3rd Dam DISPUTE (USA); third dam of Agitare (IRE), placed third in Golden Fleece Stakes, Leopardstown, Gr.2 and Tetrarch Stakes, Cork, L.
Tuesday 23 November:  2nd Dam PLAINTIFF (USA); third dam of Manu Et Corde (IRE), placed second in Beresford Stakes, Curragh, Gr.2.

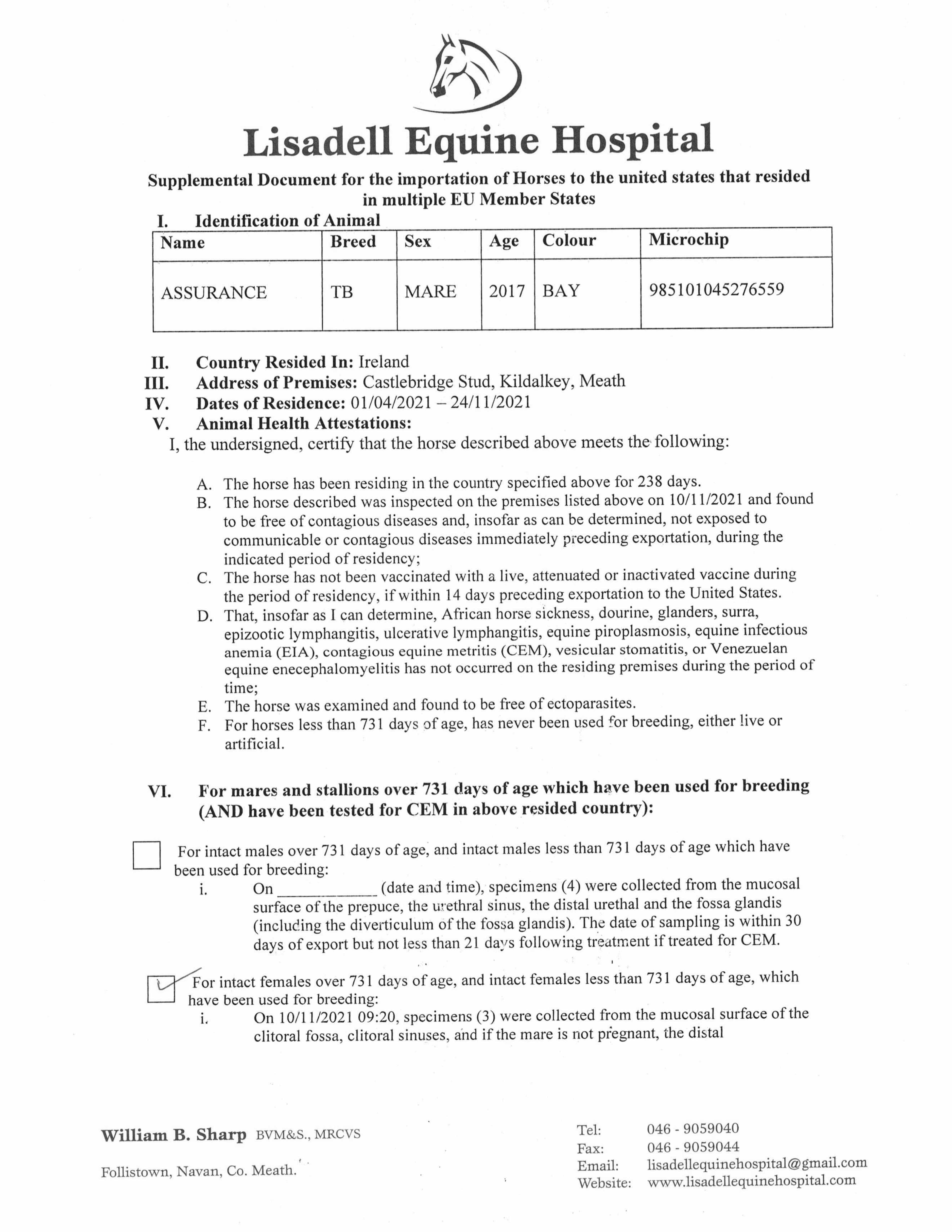
Documentation

Media

Sales for Progeny

October Yearling Sale, Book 1 2024 lot 83 F. by Mehmas (IRE) 2023, The Castlebridge Consignment=>Henry Lascelles 420,000 gns 

Sales for Full Brothers/Sisters

October Yearling Sale, Book 2 2024 lot 773 C. 2023, Lynn Lodge Stud, Ireland=>Stroud Coleman Bloodstock 325,000 gns 

September Yearling Sale 2020 lot 165 C. 2019, Boherguy Stud=>The Hong Kong Jockey Club £325,000

Sales for Half Brothers/Sisters

September Yearling Sale 2021 lot 42 C. by Parish Hall (IRE) 2020, Boherguy Stud=>BBA Ireland £52,000