Lot 1832
Zahoo (IRE) B.M.

Purchaser:
Double First Stables
Price:
65,000 gns

Info

Consignor: Shadwell Stud

Catalogue Updates

Saturday 21 November:  2015 Produce ZAAJER (GB), placed 7 times and £41,182.

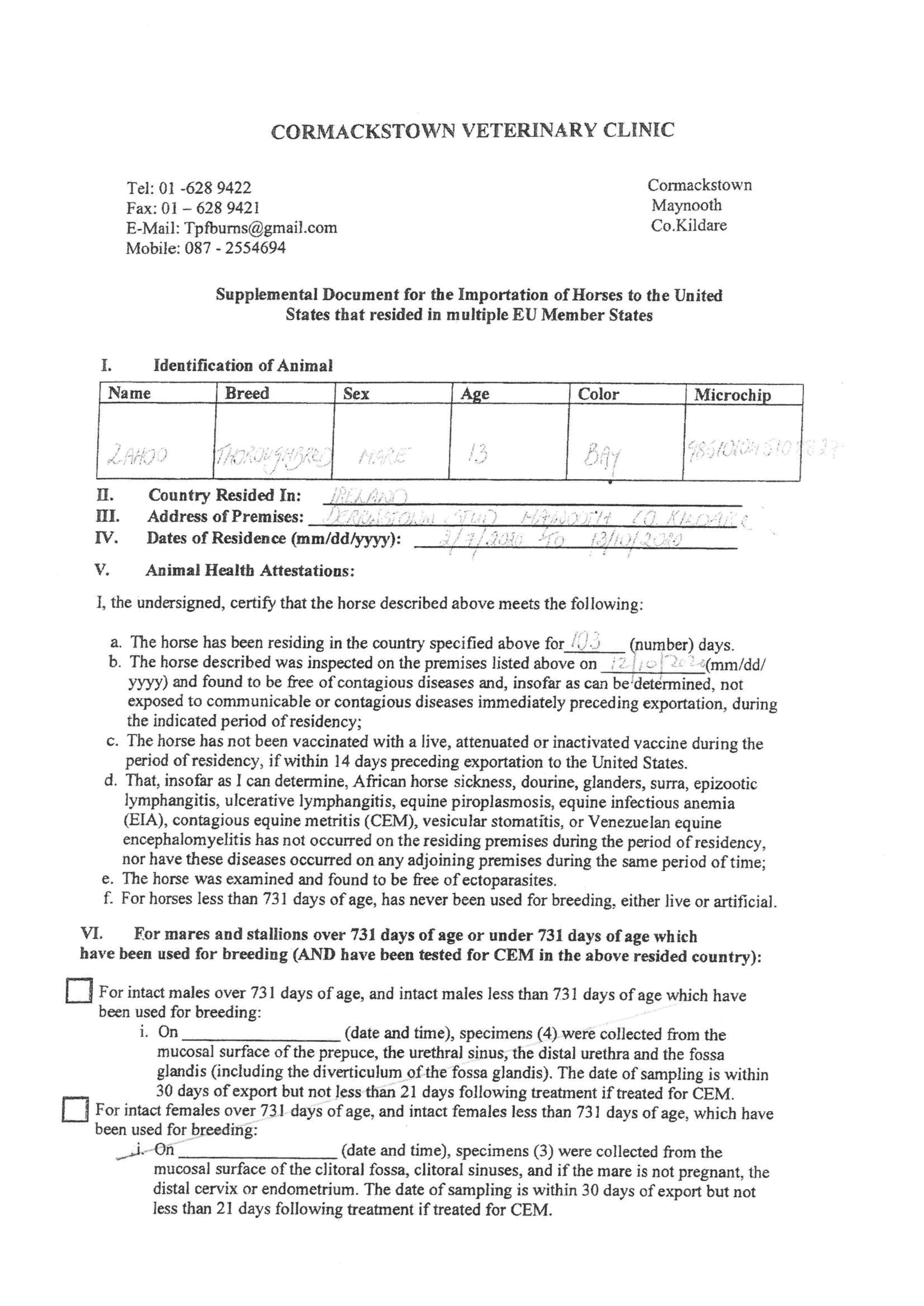
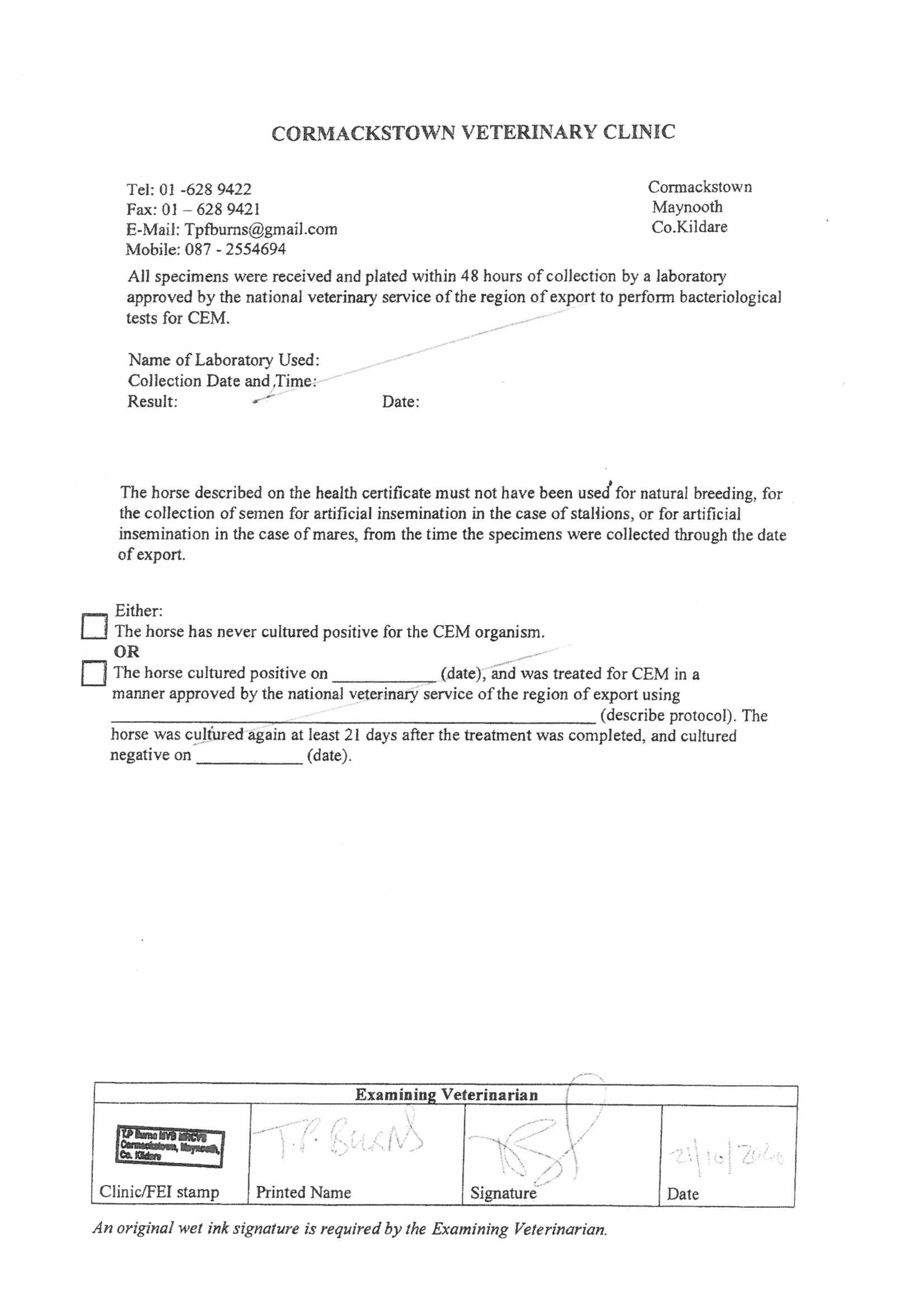
Documentation

Media

Sales for Progeny

February Sale 2022 lot 279 Zaghraf (GB) (G. by Awtaad (IRE)), Barton Sales=>Denis Hogan 7,000 gns 

August Sale 2020 lot 553 Huwaiteb (GB) (G. by Oasis Dream (GB)), Shadwell Stud=>C Gordon-Watson Bloodstock 23,000 gns 

Autumn Horses in Training Sale 2018 lot 1018 Zaajer (GB) (G. by Shamardal (USA)), Shadwell Stud=>Blue Square Bloodstock 60,000 gns 

Autumn Horses in Training Sale 2015 lot 1086 Convergence (IRE) (C. by Cape Cross (IRE)), The Castlebridge Consignment=>Debbie Mountain / Hassan Al Abdulmalik 420,000 gns 

November Yearling Sale 2013 lot 59 C. by Cape Cross (IRE) 2012, Derrinstown Stud=>Ger Lyons Racing €32,000

Sales for Full Brothers/Sisters

July Sale 2014 lot 136 Rawoof (IRE) (F.), Shadwell Stud=>Brook Stud Bloodstock 90,000 gns 

Sales for Half Brothers/Sisters

Online Charity Auction of Stallion Nominations lot 6 A Nomination to Bangkok (IRE) (H. by Australia (GB)), =>Bloomsbury Stud £2,200

December Mare Sale 2022 lot 1711 Yaazy (IRE) (M. by Teofilo (IRE)), Shadwell Estate Company Ltd.=>Framont 82,000 gns 

December Mare Sale 2021 lot 1449 Shafafya (GB) (M. by Shamardal (USA)), Shadwell Estate Company Ltd.=>Macha Bloodstock 45,000 gns 

October Yearling Sale, Book 1 2021 lot 310 C. by Churchill (IRE) 2020, Barronstown Stud, Ireland=>SackvilleDonald 440,000 gns 

October Yearling Sale Book 1, 2017 lot 262 C. by Australia (GB) 2016, Barronstown Stud, Ireland=>SackvilleDonald 500,000 gns 

December Foal Sale 2015 lot 1157 C. by Raven's Pass (USA) 2015, Norelands Stud, Ireland=>John Ferguson Bloodstock 70,000 gns 

Autumn Horses in Training Sale 2013 lot 653 Shababeek (IRE) (C. by Shirocco (GER)), Shadwell Stud=>Scuderia Simone Bocci 4,500 gns 

December Mare Sale 2011 lot 1558 Mujarah (IRE) (F. by Marju (IRE)), Shadwell Stud=>Andrew Thompson 18,000 gns 

Autumn Horses in Training Sale 2010 lot 1578 Taaresh (IRE) (G. by Sakhee (USA)), Gazeley Park Stables (K. A. Morgan)=>Lot Not Sold 7,500 gns