Lot 1830
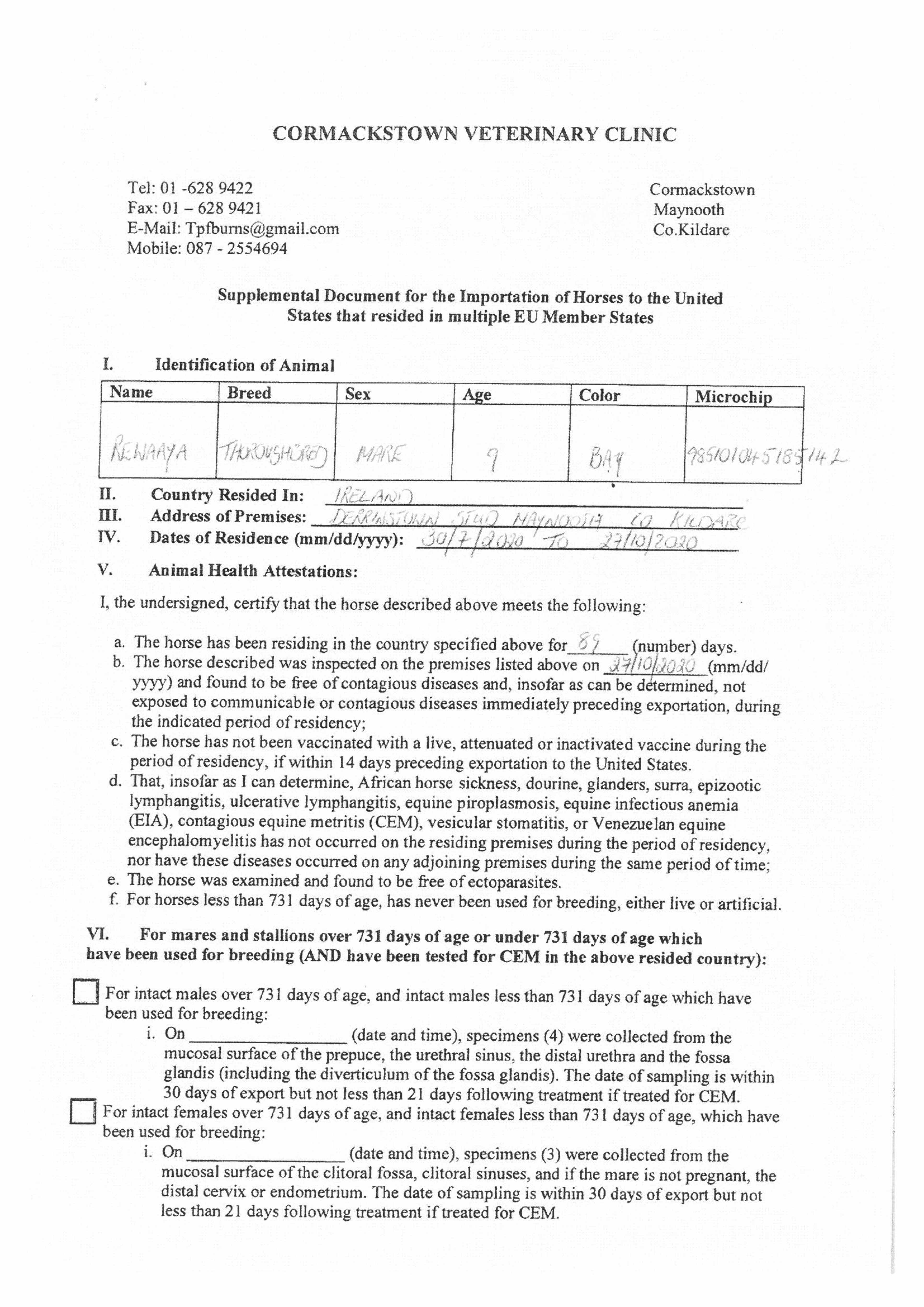
Rewaaya (IRE) B.M.

Purchaser:
P J Bloodstock
Price:
2,000 gns

Info

Consignor: Shadwell Stud

Documentation

Media

Sales for Progeny

Online Sale - 17th September 2025 lot 134 Mimieux (GB) (F. by Time Test (GB)), Folkham Stud=>Folkham Stud 1,000 gns 

December Foal Sale 2023 lot 1253 C. by Roseman (IRE) 2023, Folland-Bowen Bloodstock=>Lot Not Sold 2,500 gns 

December Foal Sale 2022 lot 340 F. by Time Test (GB) 2022, The National Stud Ltd.=>Vendor 30,000 gns 

August Sale 2021 lot 245 Alkhattaaf (GB) (G. by Mukhadram (GB)), Shadwell Estate Company Ltd.=>Neil Tucker 2,200 gns 

July Sale 2020 lot 328 Zagrah (GB) (F. by Dansili (GB)), Shadwell Stud=>Ron Charles 14,000 gns 

Sales for Half Brothers/Sisters

December Mare Sale 2019 lot 1346 Mooakada (IRE) (M. by Montjeu (IRE)), Shadwell Stud=>Hamish Macauley Bloodstock 28,000 gns 

Ascot August Sale 2019 lot 71 Moqaarana (GB) (F. by Mukhadram (GB)), Shadwell Stud=>Andrew Bull £600

July Sale 2011 lot 59 Nashaat (GB) (F. by Redoute's Choice (AUS)), Shadwell Stud=>TG Mooney 2,200 gns 

Autumn Horses in Training Sale 2008 lot 693 Almonafis (IRE) (C. by Sadler's Wells (USA)), Shadwell Stud=>Emerald Bloodstock 16,000 gns