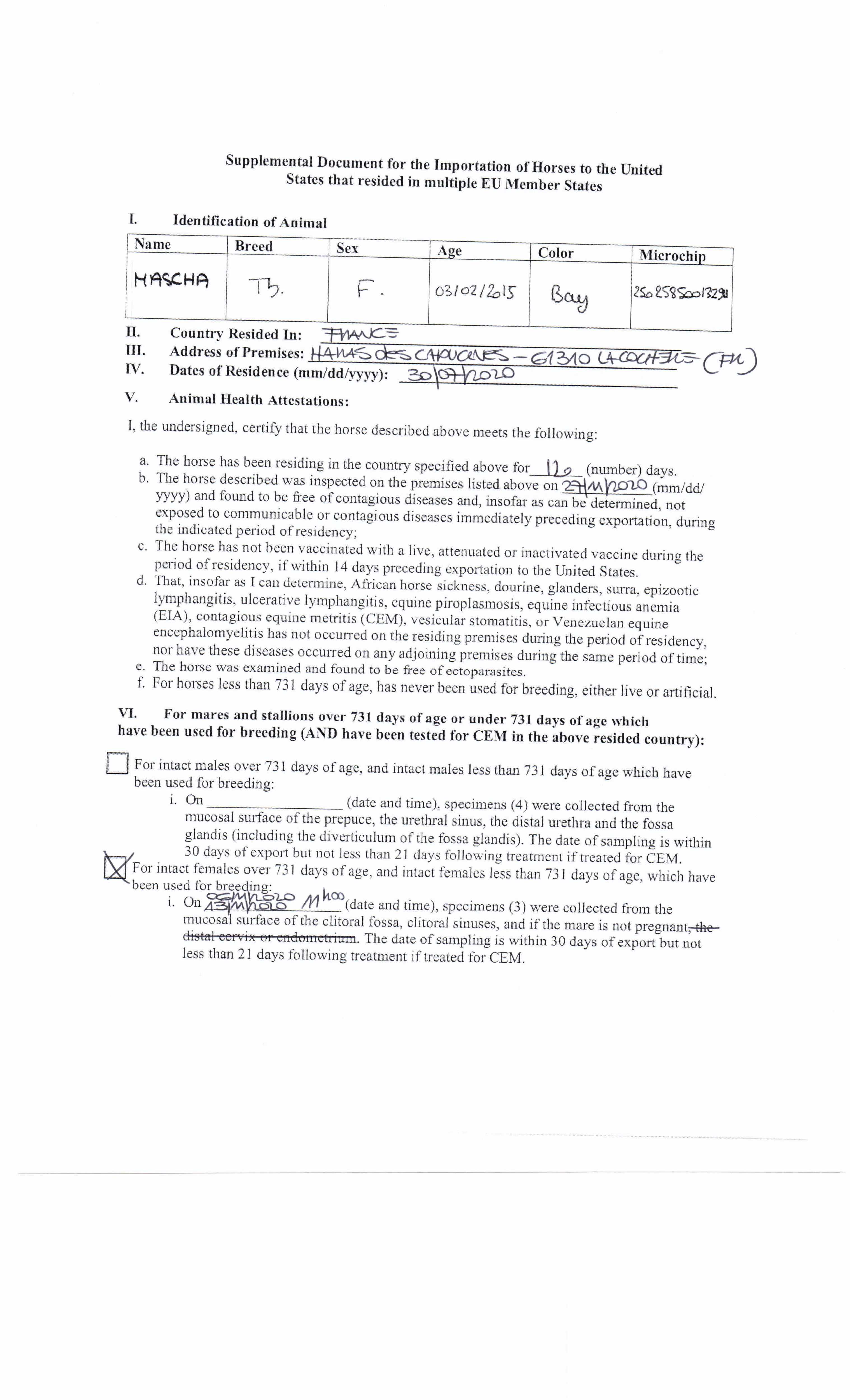
Lot 1714
Mascha (FR) B/Br.M.

Purchaser:
White Birch Farm / Demi O'Byrne
Price:
300,000 gns

Info

Consignor: European Sales Management

Documentation

Media

Other Sales for this Lot

December Mare Sale 2022 lot 1880, European Sales Management=>Premier Bloodstock 325,000 gns 

Sales for Half Brothers/Sisters

Online Sale - 15th February 2024 lot 42 Steppenwolf (FR) (G. by Davidoff (GER)), Danestown Stables, Ireland (G. Cromwell)=>Dare To Dream Racing - NH Division 12,500 gns 

Autumn Horses In Training Sale 2023 lot 1582 Spare Chips (FR) (G. by Almanzor (FR)), Barton Sales=>Colm Sharkey Agent 15,000 gns