Lot 1686
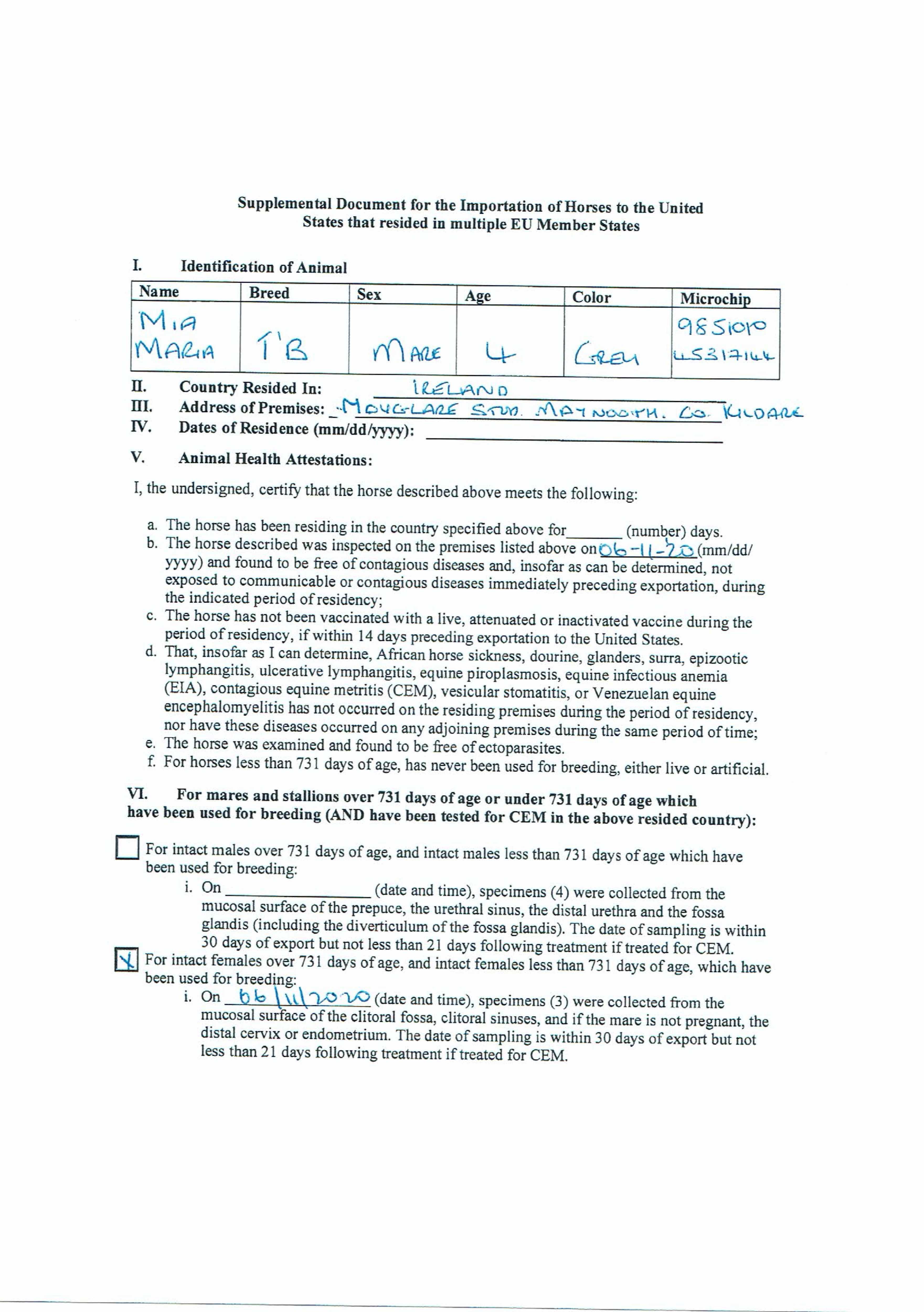
Mia Maria (IRE) Gr.M.

Purchaser:
Brian Grassick Bloodstock
Price:
450,000 gns

Info

Consignor: John Troy (Agent)

Media

Sales for Progeny

Tattersalls Ireland Breeze Up Sale 2026 lot 261 C. by Palace Pier (GB) 2024, Ard Erin Stud=>Edgar Byrne €55,000

December Mare Sale 2025 lot 1957 Mystical Maria (GB) (F. by Lope de Vega (IRE)), Consign Ltd.=>BBA Ireland 25,000 gns 

October Yearling Sale, Book 2 2025 lot 1008 C. by Palace Pier (GB) 2024, Carisbrooke Stud=>Ard Erin Stud 35,000 gns 

October Yearling Sale, Book 1 2022 lot 58 F. by Lope de Vega (IRE) 2021, Carisbrooke Stud=>Vendor 100,000 gns 

Sales for Brothers/Sisters

Autumn Horses In Training Sale 2024 lot 948 Majestic King (IRE) (G. by Kingman (GB)), Godolphin=>Denis Hogan 3,000 gns