Lot 353
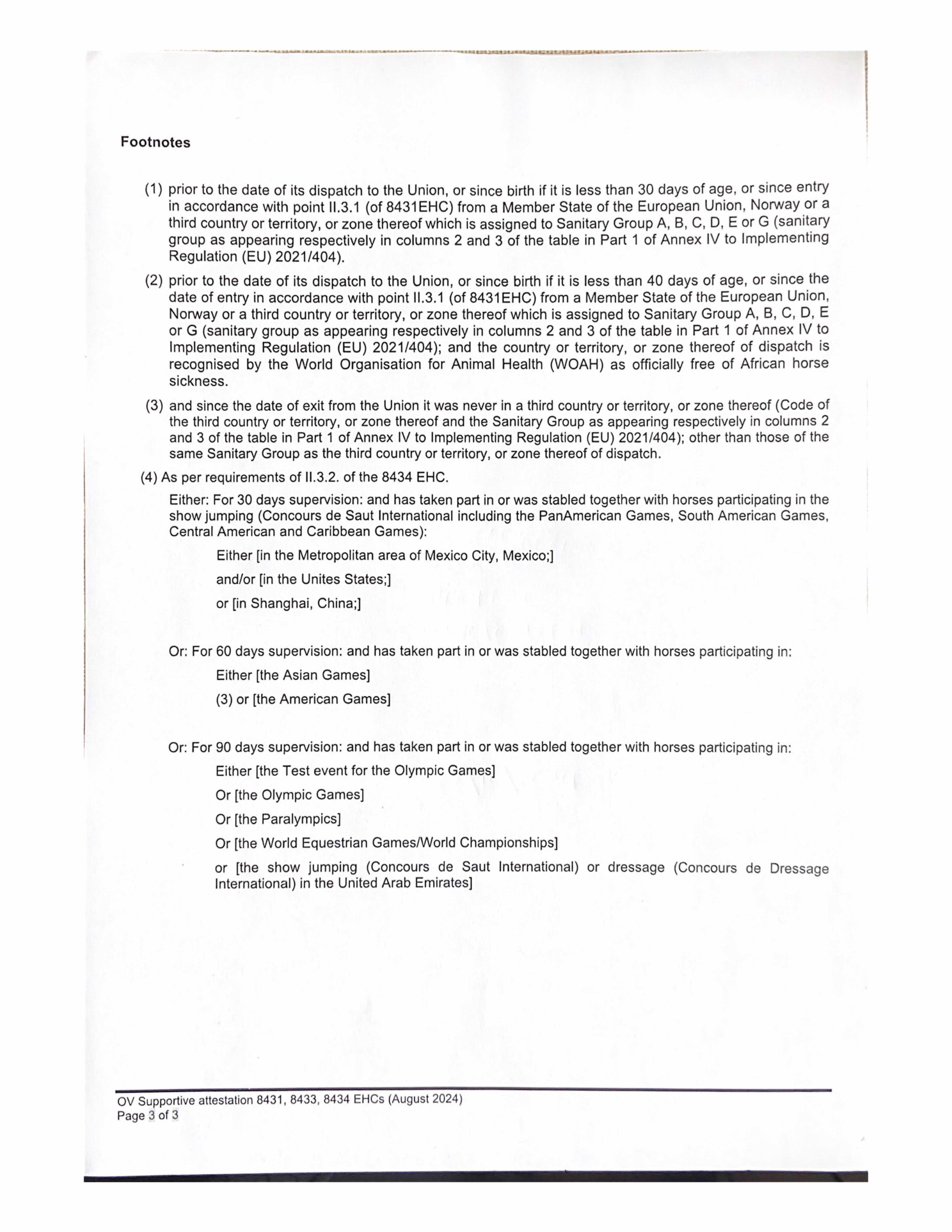
Great Blasket (IRE) B.G.

Purchaser:
Vendor
Price:
36,000 gns

Info

Consignor: Urloxhey Stables (R. Newland & J. Insole)

Catalogue Updates

Thursday 17 October:  Half brother: Coul Dreamer (IRE) (2021 g. by Coulsty (IRE)), placed twice at 3 years, 2024.

Documentation

Media

Other Sales for this Lot

Autumn Horses In Training Sale 2023 lot 876, Highfort Stud, Ireland=>Howson & Houldsworth Bloodstock / Jamie Insole 19,000 gns 

Sales for Half Brothers/Sisters

October Yearling Sale, Book 3 2017 lot 1593 C. by Lethal Force (IRE) 2016, Bumble Mitchell=>Jeremy Brummitt 35,000 gns 

February Sale 2017 lot 441 Ode To Paris (GB) (G. by Poet's Voice (GB)), Ed Dunlop Racing Ltd.=>Roberto Oddo 6,000 gns 

December Foal Sale 2016 lot 1189 C. by Lethal Force (IRE) 2016, Old Buckenham Stud (Sales Division)=>Plum Tree Bloodstock 10,000 gns 

December Yearling Sale 2016 lot 135 C. by Sepoy (AUS) 2015, Home Farm Stud, Ireland=>Janda Bloodstock 5,000 gns 

Craven Breeze Up Sale 2016 lot 6 C. by Poet's Voice (GB) 2014, Star Bloodstock=>C Gordon-Watson Bloodstock 55,000 gns 

December Foal Sale 2015 lot 705 C. by Sepoy (AUS) 2015, Old Buckenham Stud (Sales Division)=>Home Farm Stud 20,000 gns 

October Yearling Sale, Book 2 2015 lot 783 C. by Poet's Voice (GB) 2014, Aherlow Stud=>Kilbride Equine 25,000 gns 

December Foal Sale 2014 lot 1329 C. by Poet's Voice (GB) 2014, Old Buckenham Stud (Sales Division)=>Catherine Barry 26,000 gns 

October Yearling Sale, Book 3 2014 lot 1776 F. by Nayef (USA) 2013, Old Buckenham Stud (Sales Division)=>Lot Not Sold 9,000 gns 

October Yearling Sale, Book 3 2012 lot 1842 C. by Notnowcato (GB) 2011, John Troy, Agent=>Wally Graziani 6,500 gns 

December Foal Sale 2011 lot 291 C. by Notnowcato (GB) 2011, Old Buckenham Stud=>John Troy 13,000 gns