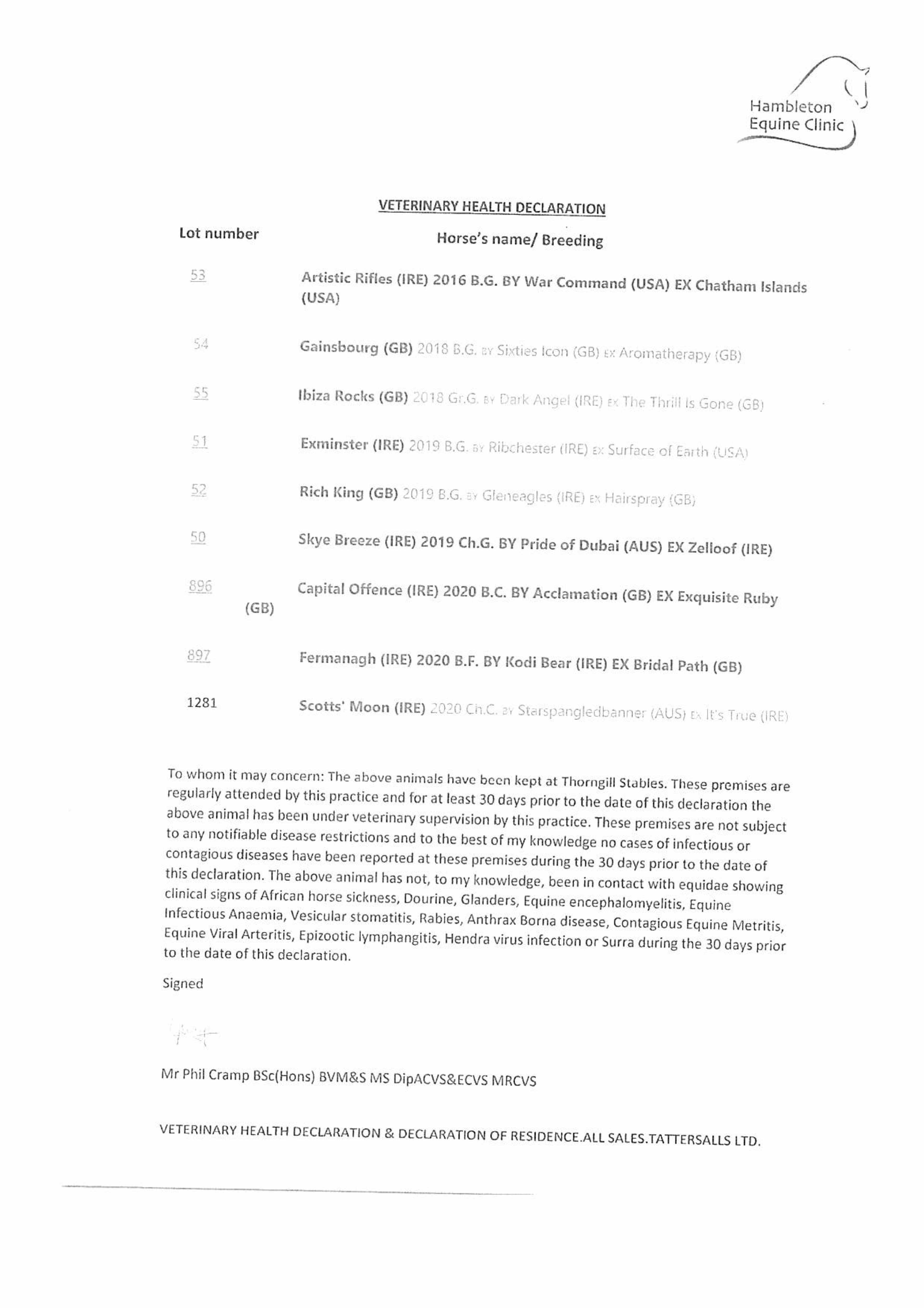
Lot 53
Artistic Rifles (IRE) B.G.

Purchaser:
Hilltop Racing
Price:
10,000 gns

Info

Consignor: Barton Sales

Documentation

Flu vaccinations approved by Weatherbys
EIA Certificate
Health Certificate

Media

Other Sales for this Lot

Autumn Horses In Training Sale 2020 lot 1203, Thorngill Stables (Hon. J. D. Bethell)=>Vendor 5,000 gns 

Sales for Half Brothers/Sisters

October Yearling Sale Book 1, 2016 lot 530 F. by So You Think (NZ) 2015, Lynn Lodge Stud, Ireland=>Anna Drion Coulonces Consignment 52,000 gns 

December Mare Sale 2015 lot 2225 Catsbury (IRE) (F. by Teofilo (IRE)), Tweenhills Farm & Stud=>Airdrie Stud 32,000 gns 

Autumn Horses in Training Sale 2014 lot 1002 Balty Boys (IRE) (G. by Cape Cross (IRE)), Spring Cottage Stables (B. Ellison)=>Vendor 36,000 gns 

September Yearling Sale 2014 lot 200 C. by Canford Cliffs (IRE) 2013, Lynn Lodge Stud=>Brian Ellison Racing €20,000

October Yearling Sale, Book 1 2013 lot 321 F. by Teofilo (IRE) 2012, Lynn Lodge Stud, Ireland=>David Redvers Bloodstock 50,000 gns 

Autumn Horses in Training Sale 2012 lot 489 Balty Boys (IRE) (C. by Cape Cross (IRE)), Faringdon Place Stables (C. Hills)=>Stephen Hillen Bloodstock 32,000 gns 

October Yearling Sale, Book 1 2010 lot 153 C. by Cape Cross (IRE) 2009, Lynn Lodge Stud, Ireland=>BBA Ireland 100,000 gns