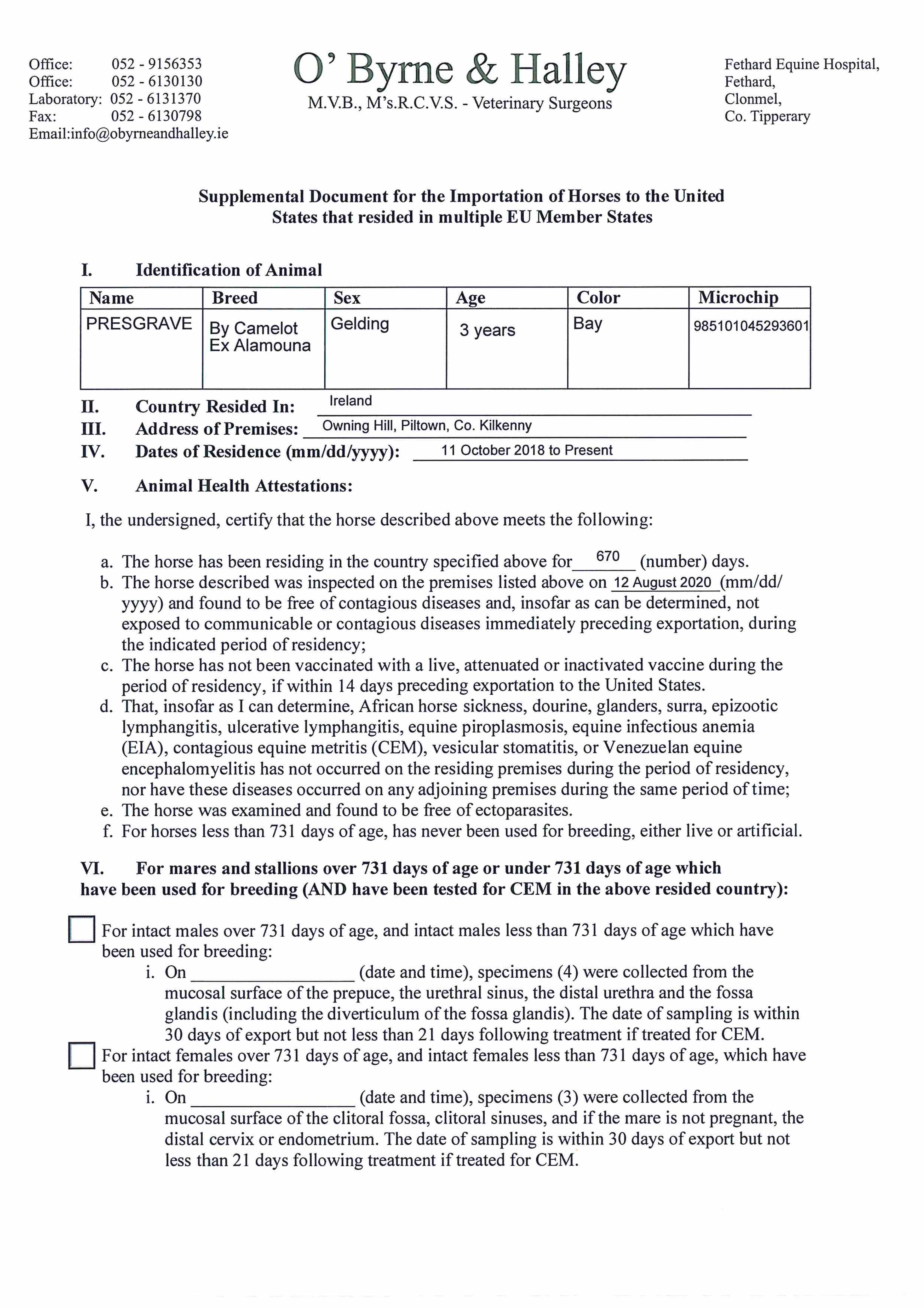
Lot 172
Presgrave (IRE) B.G.

Purchaser:
Linda Watson / Jimmy Frost
Price:
11,000 gns

Info

Consignor: Carriganog Racing, Ireland (J. P. O'Brien)

Documentation

Media

Other Sales for this Lot

October Yearling Sale, Book 1 2018 lot 212, Camas Park Stud, Ireland=>Joseph O'Brien 80,000 gns 

Sales for Half Brothers/Sisters

Autumn Horses in Training Sale 2018 lot 653 Humble Hero (IRE) (G. by High Chaparral (IRE)), Somerville Lodge Ltd. (W. Haggas)=>Ryan Mahon 35,000 gns 

December Mare Sale 2017 lot 1552 Xceedingly Xcited (IRE) (M. by Exceed And Excel (AUS)), Hazelwood Bloodstock=>Castledillon Stud 10,000 gns 

October Yearling Sale Book 1, 2015 lot 40 C. by High Chaparral (IRE) 2014, Camas Park Stud, Ireland=>Mayfair Speculators / Peter & Ross Doyle Bloodstock 300,000 gns 

October Yearling Sale, Book 1 2014 lot 151 F. by Exceed And Excel (AUS) 2013, Camas Park Stud, Ireland=>Jamie Lloyd Agent for Marco Botti 52,000 gns